español
Tiempo: 26/01/2025
Navegar: 6,734


Un ohmímetro mide la resistencia aplicando la ley de Ohm en un circuito cerrado.Los componentes clave incluyen:
• Amperio (G): Rastrea la corriente con resistencia interna (Rgramo) y corriente a gran escala (Igramo).
• Resistencia variable (R): Ajusta el circuito para cero la lectura.
• Batería: Suministra fuerza electromotriz (MI), con resistencia interna (R).
Cuando las sondas del ohmímetro se comuniquen con la resistencia en la prueba (Rincógnita), actual (I) fluye a través del circuito.Esta corriente depende de (Rincógnita), y la resistencia se lee directamente del dial calibrado.Desde la relación entre (I) y (Rincógnita) no es lineal, la escala no es uniforme, lo que requiere una interpretación precisa a medida que aumenta la resistencia.
• Ajuste mecánico cero: Asegúrese del puntero descansa en cero en el lado izquierdo de la escala.Si no, ajústelo con un destornillador.
• Seleccionando el rango: Elija un rango que coloque el puntero cerca del centro para una mejor precisión.
• Calibración cero: Corto las sondas, luego ajuste la perilla cero hasta que el puntero se alinee con la marca cero.Reemplace la batería si falla el ajuste.
• Tomando la medición: Conecte las sondas a la resistencia.Luego, lea directamente si el puntero está cerca del centro.Ajuste el rango y repita si el puntero está en los bordes.
• Después de su uso: Establezca el selector en "apagado" o el rango de voltaje de CA más alto y retire las sondas para conservar la batería.
El método Volt-Ampere, también conocido como el método de medición de voltios o medición de amperios, es una técnica común para medir la resistencia.Aplica la ley de Ohm:

Dónde Riñonal es resistencia, U es voltaje y I es actual.Usando un voltímetro y un amperímetro, se miden el voltaje a través de una resistencia desconocida y la corriente a través de él, y se calcula la resistencia.Este método permite la medición de resistencia directa con instrumentos básicos.Se puede configurar de dos maneras:
• Conexión interna: Adecuado para medir grandes resistencias.
• Conexión externa: Ideal para pequeñas resistencias.
• Conectando el circuito.Elija un rango apropiado para el voltímetro y el amperímetro.Incluya un reóstato deslizante para ajustar la corriente o el voltaje.Decide si usar un circuito de corriente de corriente o limitación de voltaje.Seleccione una conexión interna o externa basada en la resistencia a medir.Luego conecte el circuito según la configuración seleccionada.
• Realización de la medición.Ajuste el reóstato deslizante para variar la corriente o el voltaje.Luego, registre las lecturas del amperímetro y el voltímetro para cada ajuste.
• Procesar los datos.Método A: use el registrado (I) y (U) valores para calcular la resistencia para cada lectura.Promedio de los resultados para determinar la resistencia final.Método B: gráfico (U) contra (I) en papel de cuadra.La pendiente de la línea resultante representa la resistencia (R).
Para mediciones precisas, seleccione cuidadosamente el reostato deslizante y los rangos de instrumentos:
• Use un reóstato con máxima resistencia cerca de la resistencia bajo prueba cuando use un circuito de divisor de voltaje.
• Asegúrese de que los valores medidos no excedan el rango máximo del voltímetro o el amperímetro para evitar daños.
• Equilibre el rango de instrumentos para su precisión.Si el rango es mucho más alto que los valores reales, el movimiento del puntero será mínimo, aumentando los errores de lectura.
La elección entre el divisor de voltaje y los circuitos limitantes de corriente depende de los requisitos específicos de la configuración de medición.Cada tipo de circuito tiene características distintas que lo hacen adecuado para diferentes escenarios.

Figura 3. Selección de divisor de voltaje y limitación de corriente
Los circuitos de limitación de corriente están diseñados para regular el flujo de corriente, asegurando que permanezca dentro de los límites seguros tanto para los instrumentos de medición como para los componentes que se están probando.Este enfoque es ideal cuando protege dispositivos sensibles o cuando es necesario un control de corriente preciso para evitar daños.
Por otro lado, los circuitos de divisor de voltaje proporcionan una mayor flexibilidad al permitir ajustes de voltaje más amplios.Esto los hace particularmente útiles en situaciones que requieren un ajuste de voltaje continuo de cero o cuando el enfoque limitante de corriente da como resultado valores excesivos que podrían dañar los instrumentos o componentes.Además, se prefieren los circuitos de divisor de voltaje cuando la resistencia de la carga es significativamente mayor que el reóstato, ya que esto simplifica la recopilación de datos y evita las complicaciones causadas por los valores de resistencia no coincidentes.

Figura 4. Configuración del circuito interno y externo
Método de conexión externa: El voltímetro está conectado en paralelo con la resistencia, midiendo el voltaje a través de él.Sin embargo, el amperímetro mide la corriente total que fluye a través de la resistencia y el voltímetro.Dado que el voltímetro dibuja una corriente insignificante en comparación con la resistencia, este método es ideal para medir pequeñas resistencias.
Método de conexión interna: Aquí, el amperímetro está conectado en serie con la resistencia, midiendo la corriente a través de él.El voltímetro mide la caída de voltaje combinada de la resistencia y el amperímetro.Dado que la caída de voltaje a través del amperímetro es pequeña en comparación con la resistencia, este método es adecuado para medir grandes resistencias.
El método de medio sesgo utiliza las características únicas de los medidores eléctricos para medir su resistencia interna.Al observar los cambios en las lecturas del medidor en condiciones específicas, la resistencia interna se puede calcular con precisión.Este método se aplica tanto a los amperímetros como a los voltímetros, con configuraciones personalizadas para adaptarse a sus respectivas características.

Figura 5. Método de medio sesgo de amperímetro
• Conecte el circuito como se muestra en el diagrama.
• Abrir interruptor S2 e interruptor de cierre S1.Ajustar resistencia Riñonal1 Hasta que el amperímetro muestre su lectura a gran escala (Imetro).
• Mantener Riñonal1 sin alterar.Cerca S2 y ajustar Riñonal2 Hasta que el amperímetro vuelva a leer Imetro.Registrar el valor de Riñonal2.
• Si Riñonal1es significativamente mayor queRiñonalA, la resistencia interna del amímetro (RA) puede ser aproximado como Riñonal2.
Para lograr resultados precisos en el método de medio sesgo de amperímetro, es esencial garantizar que es significativamente más grande que .Esta condición minimiza la interferencia de En el proceso de medición, permitiendo que el circuito refleje mejor las características verdaderas de la resistencia interna del amímetro.
Cuando las mediciones se realizan en estas condiciones, la resistencia interna del amímetro () puede ser aproximado como , el valor registrado durante el experimento.Sin embargo, en la práctica, es típicamente un poco menor que Debido a errores inherentes en la configuración.
Estos errores surgen cuando cambian está cerrado.En este punto, la resistencia total del circuito disminuye, lo que lleva a una corriente que excede la corriente a gran escala del amímetro ().Esto obliga al amperímetro a operar en un estado semi-sesgado, donde la corriente hasta se vuelve más alto que la corriente que fluye a través de la rama de amperímetro.Como resultado, subestima , Introducción de un error de medición consistente.Comprender estas dinámicas es clave para interpretar los resultados con precisión y compensar las posibles imprecisiones.

Figura 6. Método de medio sesgo de voltímetro
• Conecte el circuito como se muestra en el diagrama.
• Colocar Riñonal2 a cero y cerrar el interruptor S.Ajuste el contacto deslizante en Riñonal1 Hasta que el voltímetro muestre su lectura a gran escala (Umetro).
• Mantener Riñonal1 fijado.Ajustar Riñonal2 Hasta que el voltímetro lea la mitad del valor a escala completa (1/2umetro).Registrar el valor de Riñonal2.
• Si Riñonal1es mucho más pequeño queRiñonalV, la resistencia interna del voltímetro (RV) puede ser aproximado como Riñonal2.
Para el método de medio sesgo de voltímetro para producir resultados confiables, es crucial que es mucho más pequeño que .Esta condición minimiza la influencia de En la medición, asegurando que la configuración del circuito refleje con precisión la resistencia interna del voltímetro.Al adherirse a esta configuración, el método se vuelve efectivo para aproximar .
En estas condiciones, la resistencia interna del voltímetro () es aproximadamente igual a , el valor registrado durante el experimento.Sin embargo, en la práctica, suele ser ligeramente más alto que .Esta discrepancia surge debido al comportamiento del circuito durante el proceso de medición.
Como aumenta, el voltaje a través de y el voltímetro también se eleva.Cuando el voltímetro alcanza su lectura a gran escala (), el voltaje a través de excede , lo que lleva a una sobreestimación de .A pesar de este error, el método es particularmente adecuado para los voltímetros con alta resistencia interna, ya que el impacto del error se minimiza en tales casos.
Esta sección explora las técnicas avanzadas para la medición de la resistencia, centrándose en aplicaciones prácticas y precisión.Cada método está diseñado para escenarios específicos, aprovechando configuraciones personalizadas y configuraciones de circuitos para obtener resultados precisos.
Los métodos A-A (amperméter) y V-V (voltímetro-voltímetro) miden la resistencia interna utilizando configuraciones paralelas o en serie de medidores.
Método A-A (método de diferencia de amperímetro)
El método A-A es adecuado para circuitos donde los rangos de amperímetro son similares y Riñonal0 es conocido.

Figura 7. Métodos para la medición de la resistencia
Configuración A: Dos améentes (A1 y A2) están conectados en paralelo.La resistencia interna de A1 (R1) o A2 (R2) se calcula utilizando la relación:

dónde y ¿Están las corrientes medidas por y, respectivamente.
Configuración B: Amperímetro A1 está conectado en paralelo con una resistencia conocida (R0), y la combinación está en serie con A2.La resistencia interna de A1 (R1) se determina usando la fórmula:

dónde y representar las corrientes a través de y la corriente total, respectivamente.
Método V-V (método de diferencia de voltímetro)
El método V-V es ideal para voltímetros con altas resistencias internas, proporcionadas Riñonal0 se elige apropiadamente.Este método también usa dos configuraciones:
Configuración C: Dos voltímetros (V1 y V2) están conectados en serie.Sus resistencias internas ( para y para ) están relacionados por la ecuación:

dónde y ¿Están los voltajes medidos por y , respectivamente.
Configuración D: Voltímetro V1 está en serie con una resistencia conocida (R0), y la combinación es paralela a V2.La resistencia interna de V1 () se calcula usando la fórmula:

dónde ¿Es el voltaje? y , y es el voltaje total medido en la combinación.
Principio
Este método calcula la resistencia desconocida (Rincógnita) utilizando el análisis de circuito paralelo en serie y la aplicación de la ley de Ohm.Aprovecha los valores conocidos dentro del circuito para calcular la resistencia con precisión.
Configuración experimental

Figura 8. Método de cálculo de fórmula
• Riñonalincógnita: Resistencia desconocida a la medida.
• Riñonal1: Resistencia fija conocida.
• Riñonal: Resistencia protectora (valor desconocido).
• S1,S2: Interruptores.
• AAA: Amperímetro (asumido ideal).
Procedimiento
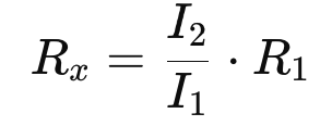
• Interruptor de cierre a la posición y a la posición .Registre la lectura actual del amperímetro ()
• Cambiar el interruptor a la posición y a la posición.Grabe la nueva lectura actual ().
Cálculo
Usando la ley de Ohm, la resistencia desconocida () se calcula como:

Aquí, y son las lecturas del amperímetro y es la resistencia fija conocida.Al analizar la configuración del circuito y aplicar esta fórmula, la resistencia desconocida se puede determinar con precisión.
Este método determina una resistencia desconocida (Rincógnita) comparándolo con una resistencia conocida (R0) a través de la sustitución y la observación de la respuesta del circuito.Se realiza utilizando dos enfoques: reemplazo equivalente de corriente y reemplazo equivalente de voltaje.
Reemplazo equivalente actual:

Figura 9. Medición de corriente equivalente
Configuración inicial: Conecte el circuito con la caja de resistencia (R0) establecido en su valor máximo.
Ajuste la corriente: Use el reostato deslizante (PAG) Para ajustar la corriente hasta que el amperímetro muestre una lectura específica (I).
Reemplazar y coincidir: Reemplazar la resistencia desconocida (Rx) con Riñonal0y ajustar Riñonal0Hasta que el amperímetro muestra la misma lectura actual (I) como antes.
Determinar la resistencia: El valor de resistencia de Riñonal0En este punto es igual a Riñonalx.
Reemplazo equivalente de voltaje:

Figura 10. Método de ajuste de voltaje equivalente
Configuración inicial: Configurar el circuito con el cuadro de resistencia (R0) establecido en su valor máximo.
Ajuste el voltaje: Use el reostato deslizante (PAG) Para ajustar el circuito hasta que el voltímetro lea un voltaje específico (U).
Reemplazar y coincidir: Reemplazar la resistencia desconocida (Rx) con Riñonal0Y ajustar Riñonal0Hasta que el voltímetro vuelva a mostrar la misma lectura de voltaje (U).
Determinar la resistencia: El valor de resistencia de Riñonal0En este punto es igual a Riñonalincógnita.
Al sustituir y coincidir sistemáticamente las respuestas del circuito, este método proporciona una forma práctica de medir con precisión los valores de resistencia desconocidos.Es particularmente útil cuando las herramientas de medición directa no están disponibles o son factibles.
Principio
Un circuito de puente mide la resistencia al equilibrar dos ramas paralelas.El equilibrio ocurre cuando ninguna corriente fluye a través del galvanómetro, lo que indica potenciales iguales a través del puente.
Configuración

Figura 11. Circuito de puente
• Riñonal1, R2: Resistencias fijas en el circuito del puente.
• Riñonal3: Cuadro de resistencia variable utilizado para ajustes.
• Riñonalincógnita: Resistencia desconocida para ser medida.
Procedimiento
• Conecte el circuito del puente con todos los componentes en sus respectivas posiciones.
• Ajustar la resistencia variable () Hasta que el galvanómetro no muestre corriente, lo que indica que el puente está equilibrado.
• Aplicar la condición de equilibrio del puente para calcular la resistencia desconocida:
Reorganizar la ecuación para resolver :
Notas clave
• Asegúrese de que el circuito esté configurado correctamente con resistencias emparejadas en serie y paralelo.
• Verifique el equilibrio del puente para medidas precisas.
Estos métodos ofrecen soluciones precisas y versátiles para la medición de resistencia, adaptadas a aplicaciones y condiciones específicas.Siguiendo la configuración adecuada y los principios experimentales, se pueden lograr resultados precisos y confiables.
Esta sección explica técnicas prácticas para probar varios tipos de resistencia, enfatizando métodos precisos, precauciones y consejos de solución de problemas.
Para probar una resistencia fija, conecte las sondas multiméteres (polaridad irrelevante) a cada terminal.Seleccione un rango cercano al valor nominal para una mejor precisión.Apunte a las lecturas en la escala media (20%-80%) para la precisión, ya que la escala Ohmic no es lineal.Compare el valor medido con la resistencia nominal, manteniéndose dentro de ± 5%, ± 10%o ± 20%, dependiendo de la tolerancia de la resistencia.Las desviaciones fuera de estos límites sugieren deterioro.
Precauciones:
• Evite tocar las partes conductoras de las sondas o la resistencia, especialmente para valores de alta resistencia (> 10 kΩ).
• Retire al menos un cable del circuito para evitar la interferencia de otros componentes.
• Si bien los códigos de color proporcionan una guía, confirme la resistencia real con un multímetro.
El procedimiento y las precauciones para las resistencias de cemento son los mismos que las resistencias fijas.Estas resistencias son más grandes y construidas para una alta potencia, pero siguen pasos de prueba idénticos.
La inspección visual a menudo es suficiente para identificar resistencias de fusibles.Una superficie ennegrecida o quemada indica una corriente excesiva.Una apariencia intacta puede apuntar a una falla menor sobre corriente de sobrecorriente.
Pasos de prueba:
• Desolder un extremo de la resistencia del circuito.
• Establezca el multímetro en el R × 1rango.
• Mida la resistencia: una lectura infinita significa que la resistencia está abierta y fallida.La desviación significativa del valor nominal indica que no debe reutilizarse.Raramente, resistencias de cortocircuito sopladas;Verifique a fondo.
Comience girando la perilla del potenciómetro.Asegure un movimiento suave, una conmutación adecuada y sin ruidos inusuales.Escuche irregularidades como "susurro", que sugieren daños.
Pasos de prueba:
• Establezca el multímetro en el rango de resistencia apropiado.
• Medir entre los terminales "1" y "2";La lectura debería coincidir con la resistencia nominal.Un valor fijo o incorrecto indica daño.
• Verifique el brazo móvil midiendo entre "1" y "3" (o "2" y "3").Gire la perilla y observe el cambio de resistencia.Una disminución gradual cerca de la posición "apagada" indica un buen contacto.
Prueba de temperatura ambiente:
Medir resistencia a aproximadamente 25 ° C.Un termistor PTC que funciona adecuadamente debe tener una resistencia dentro de ± 2Ω de su valor nominal.
Prueba de calefacción:
Use una fuente de calor sin contacto (por ejemplo, soldador) para calentar el termistor.Monitorear la resistencia;Debería aumentar con la temperatura.Ningún cambio indica un termistor defectuoso.Evite el contacto directo con la fuente de calor para evitar daños.
Prueba de temperatura ambiente:
Mida la resistencia a 25 ° C y asegúrese de que coincida con el valor nominal.
Prueba de calefacción:
• Medir la resistencia inicial () a temperatura ambiente.
• Aplicar calor (por ejemplo, con un hierro eléctrico) y medir la resistencia () A medida que aumenta la temperatura.La resistencia debería disminuir a medida que aumenta la temperatura.
Precauciones:
• Evite sostener el termistor durante la prueba, ya que el calor del cuerpo puede afectar las lecturas.
• Use la corriente baja para evitar errores térmicos durante la prueba.
Establezca el multímetro en el rango de 10 kΩ y conecte a los terminales de varistores.La resistencia debe alinearse con el valor nominal.Las lecturas más altas indican daños.
Comportamiento por voltaje:
• A bajos voltajes: alta resistencia (región de corriente de fuga).
• A voltajes moderados: la resistencia disminuye significativamente (región no lineal).
• A altos voltajes: los varistores pueden sobrecalentar, fallar o explotar debido a la corriente excesiva.
Prueba oscura:Cubra la ventana sensible a la luz del fotorresistor.El multímetro debe mostrar resistencia casi infinita.Una lectura baja indica daño.
Prueba de luz:Exponga el fotorresistor a la luz.La resistencia debería disminuir significativamente.Ningún cambio sugiere mal funcionamiento.
Prueba dinámica: Mueva un pequeño objeto negro frente a la ventana sensible a la luz mientras el fotorresistor está iluminado.El puntero multímetro debe oscilar en respuesta a los cambios en la luz.Ningún movimiento indica material fotosensible dañado.
El rango de resistencia del componente juega un papel crucial en la selección del método de medición correcta.Para valores de baja resistencia, como los que se encuentran en cables o conectores, un mímetro de milio o el método Kelvin de cuatro hilos es ideal.Estas herramientas minimizan los errores causados por la resistencia al plomo y proporcionan lecturas precisas.Para la resistencia a mediano alcance, un multímetro u ohmímetro funciona bien para aplicaciones generales.En contraste, los valores de alta resistencia, como los de los materiales de aislamiento, requieren un megohmímetro, que está específicamente diseñado para manejar una resistencia muy alta con precisión.
El nivel de precisión necesario determina la técnica de medición.Para controles de rutina o mediciones no críticas, un multímetro o un ohméter básico es suficiente.Sin embargo, para las tareas que exigen una mayor precisión, como en laboratorios o control de calidad, las técnicas como el puente Wheatstone o el método Volt-Ampere son mejores opciones.Estos métodos reducen los errores y son particularmente útiles cuando se trabajan con componentes sensibles o de alto valor.
El estado del circuito, ya sea alimentado o sin alimentación, afecta cómo se mide la resistencia.Para evitar la interferencia de las corrientes vivas, siempre apague el circuito antes de la prueba.Para los circuitos vivos, donde la alimentación no es práctica, un medidor de abrazadera puede medir la resistencia sin romper el circuito.Además, al probar los componentes soldados dentro de un circuito, es esencial desconectar al menos un terminal de la resistencia para evitar lecturas inexactas causadas por rutas paralelas.
La aplicación específica también influye en la elección de herramientas y técnicas.Para una resolución de problemas o reparaciones rápidas, un multímetro es versátil y fácil de usar.Para pruebas de componentes más detalladas, como medir inductancia y capacitancia junto con la resistencia, un medidor LCR es más adecuado.En entornos industriales, los sistemas de prueba automatizados con capacidades de registro de datos aseguran resultados y eficiencia consistentes, especialmente en operaciones a gran escala o mantenimiento predictivo.
Las condiciones ambientales como la temperatura, la humedad y la presión pueden afectar las mediciones de resistencia.Para aplicaciones críticas, asegúrese de que las mediciones se realicen en un entorno controlado o usen herramientas equipadas con características de compensación para contrarrestar estos efectos.La calibración adecuada de los instrumentos es igualmente importante para mantener la precisión, especialmente cuando se requiere una alta precisión durante períodos prolongados.
Medir la resistencia es una parte esencial para trabajar con circuitos, ya sea que esté arreglando algo, probando componentes o construyendo un proyecto.Herramientas como ohmeters, circuitos de puente o el método Volt-Ampere hacen que sea más fácil obtener resultados precisos cuando se usa correctamente.Al elegir el método correcto y seguir los pasos cuidadosamente, puede evitar errores y obtener medidas confiables.Con la práctica, la comprensión de la resistencia se vuelve simple, lo que le ayuda a manejar con confianza cualquier tarea relacionada con el circuito.
La resistencia se mide comúnmente utilizando herramientas como ohmeters, que proporcionan lecturas directas o multímetros, que combinan resistencia, voltaje y medición de corriente en un dispositivo.Para necesidades más precisas, se utilizan circuitos de puente como el puente Wheatstone, especialmente en entornos de laboratorio.Las configuraciones avanzadas incluyen el método Volt-Ampere, que calcula la resistencia midiendo el voltaje y la corriente en un circuito, y equipos especializados como medidores de LCR para componentes inductivos o capacitivos.En la práctica, la elección depende de los requisitos de precisión, con dispositivos simples como ohmeters utilizados para verificaciones rápidas y métodos de precisión para mediciones críticas.
La resistencia regula el flujo de corriente en un circuito, influyendo directamente en cómo funcionan los componentes.La alta resistencia limita la corriente, que puede debilitar las señales o causar un bajo rendimiento en dispositivos como motores o LED.La baja resistencia, por otro lado, puede provocar sobrecalentamiento o daño al permitir la corriente excesiva.Por ejemplo, en un circuito de potencia, una resistencia garantiza que los componentes sensibles reciban niveles de corriente seguros, evitando la falla.El equilibrio de resistencia adecuado es crucial para optimizar la eficiencia y prevenir fallas como gotas de voltaje o desperdicio de energía.
La relación se define por la ley de Ohm: Riñonal= V/I, donde resistencia (R) iguales de voltaje (V) dividido por la corriente (I).Prácticamente, esto significa que aumentar la resistencia reduce la corriente si el voltaje se mantiene constante, como usar una resistencia a Dim un LED.Por el contrario, la reducción de la resistencia aumenta la corriente, lo que puede sobrecalentar los componentes.El voltaje, la resistencia y la corriente siempre interactúan, y el control de uno afecta a los demás, lo que hace que esta relación sea la base para diseñar y solucionar circuitos.
Los errores a menudo ocurren debido al mal contacto entre las sondas y el componente, introduciendo lecturas falsas.La resistencia parásita de cables o conexiones también puede sesgar resultados.Para evitar estos problemas, limpiar los contactos, mantener las sondas de manera constante y asegurarse de que los cables sean cortos y gruesos para reducir la resistencia.Otro error es medir la resistencia en un circuito vivo, donde las corrientes interfieren con las lecturas;Siempre desconecte la energía antes de la prueba.Finalmente, el uso del rango de herramientas incorrecto puede dar lecturas inexactas: comenzar con un rango más alto y ajustar por precisión.
En entornos industriales, la prueba de resistencia utiliza sistemas automatizados y herramientas de precisión para manejar requisitos a gran escala o de alta precisión.Por ejemplo, la resistencia al aislamiento en los motores se prueba con megohmmeters para detectar la degradación, mientras que las líneas de producción usan medidores de LCR para controles de calidad en los componentes.Los operadores a menudo integran pruebas de resistencia en flujos de trabajo automatizados para garantizar resultados consistentes y reducir el error humano.Los datos de las pruebas se registran para monitorear las tendencias, permitiendo el mantenimiento predictivo.Los procedimientos generalmente incluyen calibración estricta, control del medio ambiente (por ejemplo, evitar una alta humedad) y la adherencia a los protocolos de seguridad durante las pruebas.
CAP CER 1UF 25V Y5V 1206
CAP CER 1000PF 100V X7R 0603
CAP CER 7PF 50V CH 0402
IC FPGA 150 I/O 324CSBGA
IC COMPARATOR 4 GEN PUR 14TSSOP
IC TRANSCEIVER HALF 1/1 8SOIC
IC FF D-TYPE SNGL 8BIT 20SOIC
IC REG LINEAR 3.3V 1.5A SOT223-5
EDE1116ABSE-6E-E ELPIDA
HD64F3690C13FZV RENESAS
CENTRALI FBGA
TMS320C6713GDP TI
FREESCA BGA


